Что такое капитализация вклада простыми словами?

Здравствуйте, друзья!
Банки сегодня предлагают широкую линейку вкладов: с пополнением и без него, с частичным снятием, с капитализацией. Осталось только выбрать самый выгодный.

Это финансовый термин, подкрепленный математической формулой, поэтому не всем удается понять его смысл.
В статье мы объясним все простыми словами и покажем на конкретных примерах принцип действия.
И для понимания совсем не обязательно обладать какими-то особыми знаниями в области экономики и банковской деятельности.
Понятие и принцип действия
Капитализация – это начисление процентов не только на первоначальную сумму вклада, но и на все начисленные ранее проценты.
Например, вы положили 10 000 руб. под 5 % годовых на обычных условиях. Это значит, что через год вы можете снять 10 500 руб. Но вы решаете оставить их на счете, не снимая. Тогда через 2 года у вас прибавится еще 500 руб., через 3 года еще 500 руб. и т. д.
При условии ежегодной капитализации через 1 год вы также получите 10 500 руб., через 2 года вы уже снимете 11 025 руб., через 3 года – 11 576,25 руб.
Все расчеты были сделаны по очень простой формуле:

Через 1 год мы получим: 10 000 * (1 + 0,05) = 10 500 руб.
Через 2 года: 10 000 * (1 + 0,05)^2 = 11 025 руб.
Через 3 года: 10 000 * (1 + 0,05)^3 = 11 576,25 руб.
К определению капитализации мы уже обращались, когда разбирали понятие депозита и его отличие от вклада. Сравнили его со снежным комом: чем выше первоначальная сумма денег на счете и дольше срок накопления, тем выше доходность.
Но не только от этих двух факторов зависит эффект, а еще и от периодичности начисления процентов на счете. Посмотрим, как это влияет на изменение суммы по депозиту.
Периодичность начисления дохода
Выше в формулах мы рассмотрели вариант, когда доходность начисляется 1 раз в год.

- ежемесячная,
- ежеквартальная,
- ежедневная.
Формула расчета немного поменяет свой вид:

Появляется буква n – это периодичность начисления дохода.
При ежемесячном начислении n = 12, ежеквартальном n = 4, ежедневном n = 365 или 366.
Давайте сравним действие “снежного кома” при разной периодичности. Оставим наши первоначальные условия.

Как мы видим, чем чаще начисляются проценты, тем выше наша доходность.

- Первоначальная величина депозита.
- Процентная ставка.
- Срок накопления.
- Периодичность начисления дохода.
При увеличении любой составляющей эффект станет более внушительный.
Для иллюстрации составим аналогичную таблицу, но изменим условия:
- первоначальная сумма – 1 000 000 руб.,
- срок – 5 лет,
- ставка – 7 % годовых.

Представленная формула расчета применяется к любой периодичности, в том числе и к ежедневной. Но, изучив предложения банков, мы не нашли таких условий. При необходимости расчеты теперь вы можете сделать и самостоятельно.
Расчет доходности с капитализацией и без нее
Чаще вкладчику надо сравнивать не варианты начисления процентов, а рассчитать сумму депозита с капитализацией и без нее. Мы не будем утомлять вас больше математикой. Формулы остаются такие же. На самом деле нет необходимости самостоятельно по ним что-то считать.
Есть удобный онлайн-калькулятор с капитализацией на разные сроки и периодичность.
Воспользуемся одним из них и посмотрим, как меняется наш доход в двух вариантах: вклад 1 000 000 руб. под 5 % годовых на 3 года.
- Расчет доходности при обычных условиях.

- Расчет доходности с ежемесячным начислением (наиболее часто встречающийся вариант в банке).

Таким образом можно сравнивать условия в различных банках и выбирать наиболее оптимальные для вас. Обратите внимание, что мы не рассматривали вариант с пополнением вклада в течение срока. В этом случае доходность будет еще выше. Возможность пополнения также можно задать в онлайн-калькуляторе.
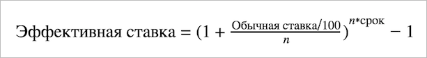
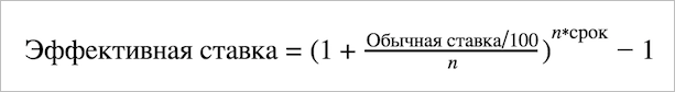
Что такое эффективная ставка?
С рассматриваемой сегодня темой статьи тесно связано еще одно понятие – эффективная ставка. Например, на сайте банка ВТБ при выборе депозита вы увидите вот такую таблицу с процентными ставками.

Здесь под обычной ставкой располагается еще одна – это и есть эффективная ставка. Что это такое?
Эффективная ставка – ставка с учетом капитализации. Она всегда выше обычной. Ей удобно пользоваться, когда вы сравниваете доходность по нескольким банкам.
Как ее рассчитать? Очень просто. Для интересующихся математикой мы напишем формулу. Пусть будет для общего развития. А для всех остальных есть онлайн-калькулятор.

Напоминаем, что n – это периодичность начисления дохода.
Рассчитаем эффективную ставку, например, по вкладу “Сохраняй” от Сбербанка. Мы кладем 100 000 руб. под 4,2 % годовых на 1 год с ежемесячной капитализацией.
Эффективная ставка составит:

Давайте проверим на онлайн-калькуляторе на сайте банка.

по теме: Что такое реальная процентная ставка: формула расчета и варианты применения
Альтернатива вкладу – процент на остаток
Хотим зайти немного с другой стороны к рассматриваемому вопросу и разобрать альтернативу банковскому вкладу – дебетовую карту. Мы поделимся опытом ее использования.
Нам потребовалось разложить деньги по разным счетам с целью накопления на свои цели.
В результате анализа банковских предложенийпо определенным критериям мы остановились на таких вариантах:
- Депозит “Ренессанс Накопительный” в одноименном банке.
Условия: ставка 6,75 % годовых с ежемесячным начислением дохода, возможностью пополнения, но без расходных операций. Срок депозита – 1 год, в течение которого ставка не меняется. При этом мы ежемесячно его пополняем, но не снимаем деньги.
- Дебетовая карта того же банка с начислением процента на остаток.
Условия: бесплатное обслуживание при остатке не менее 30 000 руб. и ежемесячное начисление дохода в размере 7,25 %. Получается, что, если не проводить операции по карте, то каждый месяц доход начисляется и на первоначальную сумму, и на ранее начисленные проценты. И размер дохода значительно больше, чем по вкладу.

Так как и вклад, и карта открывались с целью накопить, то расходные операции мы не совершали. Пополнение на оба продукта регулярно проводили каждый месяц.

- возможность пополнения и снятия при необходимости без каких-либо штрафных санкций,
- больший доход, чем по депозиту,
- карта всегда под рукой, можно воспользоваться в любой день недели и время суток.
Но есть и минус: процент на остаток по счету может в любой момент измениться.
Предложений по дебетовым картам с начислением процента на остаток не так много, но они есть.
Плюсы и минусы капитализации
Несмотря на очевидные достоинства капитализации, которые проявляются в первую очередь в более высокой доходности по сравнению с обычным начислением процентов, у нее есть и минусы:
- Как правило, банк ограничивает мобильность средств. То есть вы не можете распоряжаться своими деньгами в течение срока действия договора. Конечно, вам не откажут, когда вы заявите, что закрываете счет и снимаете все деньги. Но получите вы далеко не ту сумму, на которую рассчитывали, когда открывали счет. Не во всех банках можно снимать деньги без потери всего или части дохода.
Например, если вы решите закрыть досрочно вклад “Сохраняй” в Сбербанке (100 000 руб. на 1 год), то на руки получите на 2 862,61 руб. меньше.

- Банки часто назначают более низкую ставку по депозитам с капитализацией. Поэтому очень важно просчитывать эффективную ставку и сравнивать ее по нескольким предложениям в разных банках.
- Заметный эффект от капитализации проявляется только в долгосрочном периоде. Поэтому, если вы уверены, что в ближайшие несколько лет вам не понадобится много денег, открывайте депозит с капитализацией. Если нет – присмотритесь к обычному вкладу, но с возможностью снятия.
Банки иногда предлагают выбрать вариант использования начисленного дохода: оставить на счете или снять наличными (перевести на карту, счет).
Если по вкладу вы выберете “снимать проценты”, то никакой капитализации и вовсе не будет. Ведь вы оставляете на своем счете только сумму первоначальных вложений.
Заключение

- Определяем цель открытия вклада: сбережение, краткосрочное или долгосрочное накопление, получение пассивного дохода.
- Определяем условия: с возможностью пополнения, частичного снятия или без, первоначальную сумму, срок и процентную ставку.
- Выбираем несколько банков, наиболее отвечающих нашим критериям.
- Рассчитываем по каждому предложению эффективную ставку и делаем окончательный выбор.
Не забываем проанализировать и дебетовые карты с процентом на остаток. Этот вариант для сильных духом людей, потому что соблазн все потратить может победить желание копить. Но, если есть конкретная цель, то у соблазнов нет никаких шансов. Согласны?
До новых встреч!